Aula 13:
Filtros Analógicos - parte 1
SEL0604

Prof. Marcos Rogério Fernandes

07 de outubro de 2024

Filtros Ideais

Um filtro ideal é um sistema projetado especificamente para remover certas frequências de um sinal sem alterar as demais frequências.
  • Filtro Passa-Baixa (FPB);
  • Filtro Passa-Alta (FPA)
  • Filtros Passa-Faixa (FPF).
  • Filtros Rejeita-Faixa (FRF).

Filtros Passa Baixa

Filtros Passa Alta

Filtros Passa Faixa

FPF=FPA+FPB

Filtros Rejeita Faixa

FPF=FPB+FPA

Objetivos

 

  • Filtro Analógico Passa Baixa RC
  • Filtro Analógico Passa Alta RL
  • Filtros Analógico Passa-Faixa RLC
  • Filtros Analógico Rejeita-Faixa RLC
  • Exemplos.

Divisor de tensão

$ V_o(\omega)=V_i(\omega)\frac{Z_2}{Z_1+Z_2} $

Impedância do Resistor

 

$$ Z_R=R $$

Impedância do Capacitor

$$ Z_C=\frac{1}{j\omega C} $$

Impedância do Indutor

 

$$ Z_L=j\omega L $$

Impedância

 

ResistorCapacitorIndutor
$Z_R=R$$Z_C=\frac{1}{j\omega C}$$Z_L=j\omega L$

Filtro Passa-baixa RC

$ H(\omega)=\frac{\frac{1}{RC}}{j\omega+\frac{1}{RC}} $

Filtro Passa-baixa RC

$ |H(\omega)|=\frac{\frac{1}{RC}}{\sqrt{\omega^2+\frac{1}{(RC)^2}}},\quad \theta(\omega)=-\arctan(\frac{\omega}{RC}) $

Filtro Passa-baixa RC

Módulo em dB

 

$$ |H(\omega)|_{dB}=20\log_{10}(|H(\omega)|) $$

 

Espectro de Fourier (parte positiva) = Diagrama de Bode

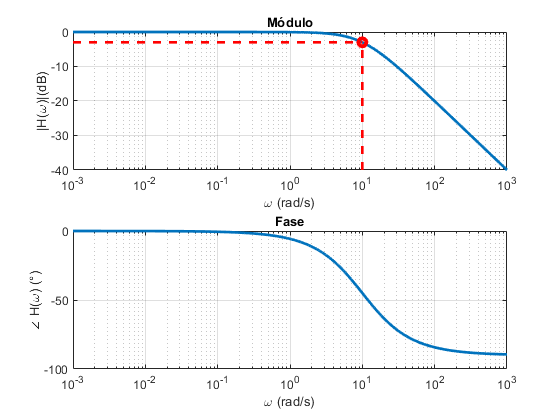
Filtro Passa-baixa RC (Diagrama de Bode)

Frequência de corte

Teorema de Parseval: $$ \|h(t)\|^2=\frac{1}{2\pi}\int_{-\infty}^\infty |H(\omega)|^2d\omega $$ Portanto,

$$ |H(\omega)|^2\to \text{densidade de potência} $$

Frequência de corte

Supondo o espectro normalizado: $$ \max_\omega |H(\omega)|=1 $$

Meia-potência $$ |H(B)|^2=\frac{1}{2} $$

$\Rightarrow B$ é a frequência de corte do filtro.

Frequência de corte

Supondo o espectro normalizado: $$ \max_\omega |H(\omega)|=1 $$

Meia-potência $$ |H(B)|=\frac{1}{\sqrt{2}} $$

$\Rightarrow B$ é a frequência de corte do filtro.

Frequência de corte

Supondo o espectro normalizado: $$ \max_\omega |H(\omega)|=1 $$

Meia-potência $$ |H(B)|_{dB}=20\log_{10}(\frac{1}{\sqrt{2}})\approx -3dB $$

$\Rightarrow B$ é a frequência de corte do filtro.

Filtro Passa-baixa RC (Diagrama de Bode)

Filtro Passa-baixa RC (Diagrama de Bode)

Frequência de corte (B) p/ filtro RC

 

$$ |H(B)|=\frac{1}{\sqrt{2}}=\frac{\frac{1}{RC}}{\sqrt{B^2+\frac{1}{(RC)^2}}} $$
$$ B=\frac{1}{RC} $$

Filtro Passa-baixa RC

$$ B=\frac{1}{RC} $$

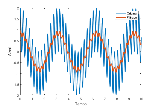
Exemplo:

Obter um filtro RC para remover a componente de $25rad/s$ do sinal $$ g(t)=\cos(2t)+\cos(25t) $$

Exemplo:

Escolhendo $R=330\Omega$ e $C=1000uC$, resulta em
$ B\approx 3 rad/s $

Exemplo:

Escolhendo $R=330\Omega$ e $C=1000uC$, resulta em
$ B\approx 3 rad/s $

Filtro Passa-Alta RL

$ H(\omega)=\frac{j\omega}{j\omega+\frac{R}{L}} $

Filtro Passa-Alta RL

$ |H(\omega)|=\frac{\omega}{\sqrt{\omega^2+(\frac{R}{L})^2}},\quad \theta(\omega)=\arctan(\frac{R}{\omega L}) $

Filtro Passa-Alta RL

Filtro Passa-Alta RL (Diagram de Bode)

Filtro Passa-Alta RL (Diagram de Bode)

Filtro Passa-Alta RL (Diagram de Bode)

Frequência de corte (B) p/ filtro RL

 

$$ |H(B)|=\frac{1}{\sqrt{2}}=\frac{B}{\sqrt{B^2+(\frac{R}{L})^2}} $$
$$ B=\frac{R}{L} $$

Filtro Passa-Alta RL

$ B=\frac{R}{L} $

Filtro Passa-Faixa RLC

$ H(\omega)=\frac{R}{R+j(\omega L-\frac{1}{\omega C})} $

Filtro Passa-Faixa RLC

$ B_0=\frac{1}{\sqrt{LC}} $

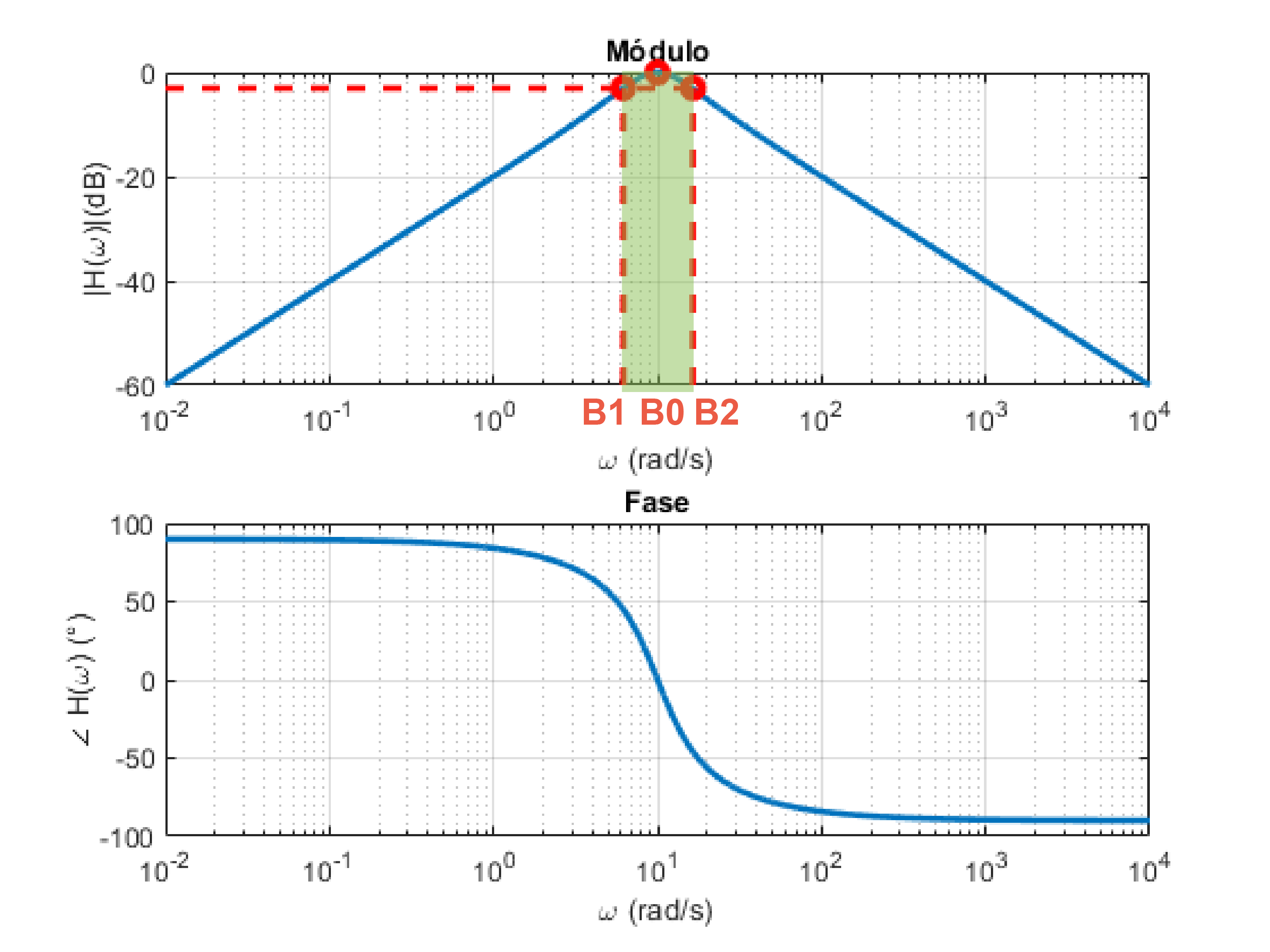
Filtro Passa-Faixa RLC (Diagrama de Bode)

Filtro Passa-Faixa RLC (Diagrama de Bode)

Filtro Passa-Faixa RLC (Diagrama de Bode)

Filtro Rejeita-Faixa RLC

$H(\omega)=\frac{j(\omega L-\frac{1}{\omega C})}{R+j(\omega L-\frac{1}{\omega C})}$

Filtro Rejeita-Faixa RLC

$B_0=\frac{1}{\sqrt{LC}}$

Filtro Rejeita-Faixa RLC (Diagrama de Bode)

Filtro Rejeita-Faixa RLC (Diagrama de Bode)

Filtro Rejeita-Faixa RLC (Diagrama de Bode)

Próxima aula

 

 

Filtros Analógicos - parte 2

 

 

 

Até a próxima aula!